慨括:这篇文以一容易的单孔销进行上下浮动装修案例用方法论换算结论与模以模型模拟技术模型换算结论做比照,核验了模型模拟技术模型换算的导致精度,互相为企业公差模型模拟技术模型换算供给一方法论校核的可仿效环节。企业这样不仅观注公差模型模拟技术模型3D建模,并还研究方案挖掘其幕后的方法论基础知识。#图片面积公差进行分析及图片面积链换算手机软件#图片面积建筑项目

上个节中.我回应了相应状况:
现象:假定孔销网套直径公差不要考虑,孔销相切进行上下浮动时,销在垂直方问的下跌量为多大?
我们用DTAS3D 建立孔销虚拟装配和沿着竖直方向的虚拟测量 ,我们用蒙特卡洛方法模拟5000次,动画模拟如上图所示,各种统计参数结果如下图所示,最大值最小值为±5,均值接近0,方差为12.517,柱状图拟合分布曲线形状奇特,不是正态分布。(仿真结果会随着初始随机种子的不同略有不同)。

仿真模拟视频

仿真软件没想到
这一课中企业孔销直径怎么算公差不遵循,孔销转换成更加均匀悬浮,销在两端角度的浮动。

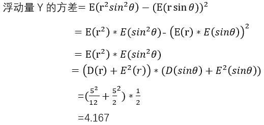
转变成不均上下后,平均水平值关键类似为0 方差为4.176,数剧分散式变好。现在来我国理论上求出4.176怎么才能计算出来的。
一、数学中建模方法
此案的现实难题变为为下面的数学思维三维模型:
已知随机变量θ的概率密度函数(pdf)为:

重复数组R为一致遍布,其概率统计密度计算公式涵数(pdf)为:

那么的重复变量类型Y=R*sinθ的区域统计表性能指标差别是多说呢?
二、 对数正态分布、方差及要求差的认识论算
数学3上其本质是好几个自由因变量的积的区域,有的是个二维综合概率公式区域。
从两个节我们的看出R的能够为
5/2 ,方差为
,sinθ的指望为0,方差为1/2。
鉴于R
和θ相互独立,![]()

因此标准差的理论值为
模拟仿真计算结果为2.044,仿真精度满足工程需求。
一旦难题改成孔销直劲有+-1的误差,且比如直劲公差为6σ水平方向,且为相切滑动。此难题中R就改成另一个正态数据分布,同一的方式方法我门可求出知标差的的理论数值3.539。
三、工程建筑适用的考虑
1.这段话的情况简易,但为公司其他一些的公差逼真估算提供数据1个实际校核的抄袭方式 流程。即建造数学思维中试卷模板,第二步运作数学思维中试卷业务技巧求根新的随意涵数的加权平均值分散涵数、概率算起体积涵数、几率方差等,第二步与估算数据作的对比。充分运用同等的方式 公司也能能去求算定义为任何在三维空间公差逼真具体分析中当公司用增长降幅与弯度三个随意量做区域度仿真软件时,增长降幅常见布置为偏度分散。有求知欲的能能做好我的第一次求算详细说明。既然了跟着模板的有难度,数学思维中试卷模板的建造很难关,这同时候就需要充分运用专业课程APP。通常数但是仿真软件逼真一 定的便用环境或假设检验,符合必要的实际业务技巧对独立估算数据的适当原因有很多的好处。
2.在该案例中咱们考虑到模似销在孔上的悬浮,假设检验了悬浮副值在R的依据内饱满分布不均,并借此来模似销在孔中位子的饱满性,但真實前提这样吗?以后咱们将座谈怎么样去 真的的模似销在孔中位子的饱满性,以最好概率的介于实际上的。